
2022-02-11|admin
齒輪齒條傳動具有高速高剛性的特點,因此被廣泛應用于現代機械設備中。常見的運用齒輪齒條傳動的設備有:機器人第七軸、桁架機械手、激光切割機、木工雕刻機等等。
接下來便以機器人第七軸為例來看一下齒輪齒條傳動如何計算選型。
機器人第七軸俗稱地軌,是一種用來讓一臺機器人在多個工位之間來回移動的行走機構,如下圖所示:
通常地軌上的負載較重并且需要高速長距離移動,因此常采用齒輪齒條傳動
應用案例如下:
首先需要確定設備的相關參數:
|
驅動方式 |
負載重量 |
最大速度 |
加速度 |
定位誤差 |
摩擦系數 |
|
單驅 |
500KG |
60米/分鐘 |
0.2秒 |
±0.1 |
0.02 |
根據以上參數可以計算出負載加速時所需要的推力:
算上安全系數(Ka=1.2)和效率(96%),得出實際所需要的推力:
這里選擇模數3齒數20斜齒輪,分度圓直徑為63.66,計算出負載加速所需最大扭矩:
負載達到最大速度時齒輪的轉速:
負載運動時的慣量:
得到以上參數后便可以開始選擇電機和減速機,這里選擇西門子1FL6067(2kw),該電機參數如下:
|
額定扭矩 |
最大扭矩 |
額定轉速 |
最高轉速 |
轉動慣量 |
|
9.55Nm |
28.7Nm |
2000rpm |
3000rpm |
30.7kg·cm2 |
為了保證電機工作時不會超過最高轉速3000轉,因此減速比必須小于10,所以我們需要選擇一級減速比的減速機。
同時還需要考慮負載和電機的慣量比,為了達到良好的動態性能,建議慣量比小于5(最大不能超過7),根據負載和電機慣量比公式:
可以計算出減速比要大于5,所以我們最終選擇減速比為7。
校核:
電機工作時最高轉速:
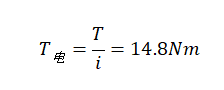
電機工作時最大扭矩:
負載和電機慣量比:
綜上,該電機、減速比與齒輪的組合能夠滿足設備運行要求。
在使用齒輪齒條傳動時,需要注意以下幾點:
1. 盡量使用小齒輪,這樣可以減小齒輪分度圓直徑,提高精度,降低負載所需扭矩,減小轉動慣量。
2. 需要注意齒輪受力點離減速機輸出端軸承的距離,如果力臂太長可能會造成減速機輸出軸的損壞。
3. 為了降低噪音以及提高設備運行時的平穩性,有限選擇斜齒。
4. 齒輪端面需要加蓋板,以防止運行時發生軸向竄動。

微信掃一掃